Town of Chelsea

Gateway to the Capital

  • Facebook
  • Government
    • Misc. Agendas through 3/16/2023
      • Planning Board Agendas from 3/17/2023
      • Selectboard Agendas from 3/17/2023 to Present
    • Contact
    • Minutes
      • Assessors Minutes
      • Other Minutes
      • Planning Board Minutes
      • Selectboard Minutes
    • Ordinances and Policies
  • Departments
    • Administration
    • Appeals Board
    • Assessing
    • Budget Committee
    • Board of Assessment Review
    • Cemetery Maintenance Committee
    • Codes & Health
    • Fire Department & EMA
    • Planning Board
    • Roads Committee
    • RSU #12 School Board
    • Selectboard
  • Services
    • Bids and Help Wanted
  • E-Services
    • Dog Licensing
    • Hunting & Fishing Licenses
    • Motor Vehicle Rapid Renewal
    • Open Burning Permits
    • Maine Environmental Depot
    • Pay Property Taxes
  • Community
    • Age-Friendly Chelsea
      • AGE-FRIENDLY CHELSEA GUIDING PRINCIPLES
      • THE CHELSEA MESSENGER ~ TOWN NEWSLETTER
      • Fundraising
      • Minutes: Age-Friendly Chelsea
    • COMMUNITY EVENTS & FUNDRAISING
      • Committee Members
      • Meeting Summary
      • Fundraising
    • Chelsea Historical Society
      • Members
    • Calendar
    • Chelsea Elementary School
    • Hatch Hill Solid Waste Disposal Facility
    • Latest News
    • Blog
  • Business
  • Taxes
  • Chelsea Live
  • THE CHELSEA MESSENGER ~ TOWN NEWSLETTER

Town of Chelsea

  • Facebook
  • Facebook
  • Government
    • Misc. Agendas through 3/16/2023
      • Planning Board Agendas from 3/17/2023
      • Selectboard Agendas from 3/17/2023 to Present
    • Contact
    • Minutes
      • Assessors Minutes
      • Other Minutes
      • Planning Board Minutes
      • Selectboard Minutes
    • Ordinances and Policies
  • Departments
    • Administration
    • Appeals Board
    • Assessing
    • Budget Committee
    • Board of Assessment Review
    • Cemetery Maintenance Committee
    • Codes & Health
    • Fire Department & EMA
    • Planning Board
    • Roads Committee
    • RSU #12 School Board
    • Selectboard
  • Services
    • Bids and Help Wanted
  • E-Services
    • Dog Licensing
    • Hunting & Fishing Licenses
    • Motor Vehicle Rapid Renewal
    • Open Burning Permits
    • Maine Environmental Depot
    • Pay Property Taxes
  • Community
    • Age-Friendly Chelsea
      • AGE-FRIENDLY CHELSEA GUIDING PRINCIPLES
      • THE CHELSEA MESSENGER ~ TOWN NEWSLETTER
      • Fundraising
      • Minutes: Age-Friendly Chelsea
    • COMMUNITY EVENTS & FUNDRAISING
      • Committee Members
      • Meeting Summary
      • Fundraising
    • Chelsea Historical Society
      • Members
    • Calendar
    • Chelsea Elementary School
    • Hatch Hill Solid Waste Disposal Facility
    • Latest News
    • Blog
  • Business
  • Taxes
  • Chelsea Live
  • THE CHELSEA MESSENGER ~ TOWN NEWSLETTER

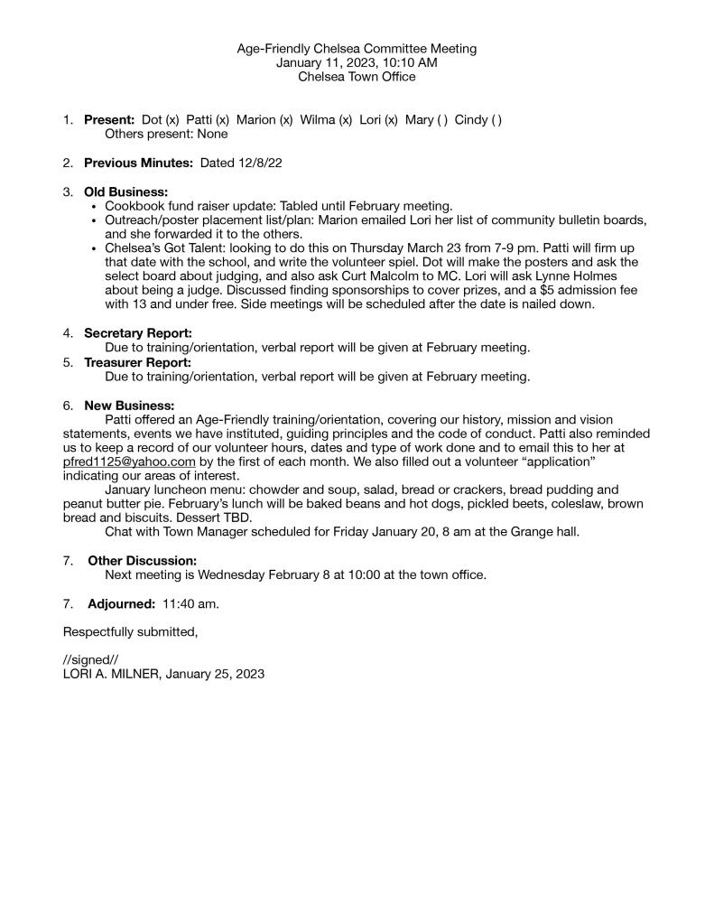
Minutes: Age-Friendly Chelsea

Click to access july-10-2024-minutes.pdf

Click to access 2024-june-12-age-friendly-chelsea-minutes.pdf

Click to access 2024-may-8-minutes-age-friendly-chelsea.pdf

Click to access 2024-april-10-minutes-age-friendly-chelsea.pdf

Share this:

  • Share on X (Opens in new window) X
  • Share on Facebook (Opens in new window) Facebook
Like Loading...

Get in Touch

Chelsea Town Office
560 Togus Rd
Chelsea, ME 04330

Phone: (207) 582-4802

Hours:
Monday: Closed
Tuesday: 8:30 am – 4:30 pm
Wednesday: 8:30 am – 6:00 pm
Thursday: 8:30 am – 4:30 pm
Friday: 8:30 am – 4:30 pm

911 Address Signs

The Chelsea Fire Department has 911 address signs available for sale. The cost is $15.00 and will be delivered to you once completed. Please forward the attached form to the town office.

Sign Up for Town Updates:

Follow Us

Town of Chelsea

Visit Us

Chelsea Town Office
560 Togus Rd
Chelsea, ME 04330

Phone: (207) 582-4802

TOWN OFFICE HOURS

Monday: Closed
Tuesday: 8:30 am – 4:30 pm
Wednesday: 8:30 am – 6:00 pm
Thursday: 8:30 am – 4:30 pm
Friday: 8:30 am – 4:30 pm

GENERAL ASSISTANCE HOURS

Thursday 9am to Noon
Please call to schedule an appointment and to fill out an application.

Code Enforcement Office Hours:

Monday:  9:00 am – 6:00 pm
Tuesday:  9:00 am – 4:45 pm
Wednesday: 9:00 am – 4:45 pm
Thursday:  9:00 am – 6:00 pm

Inspections are done by appointment and may be scheduled by calling Code Enforcement Officer Greg Lumbert (207) 592-7073 or emailing chelseaceo@chelseamaine.org

Note: Please leave a brief message with your phone number.

Questions? Get in Touch

← Back

Thank you for your response. ✨

  • Facebook
Website Built with WordPress.com.
  • Subscribe Subscribed
    • Town of Chelsea
    • Already have a WordPress.com account? Log in now.
    • Town of Chelsea
    • Subscribe Subscribed
    • Sign up
    • Log in
    • Copy shortlink
    • Report this content
    • View post in Reader
    • Manage subscriptions
    • Collapse this bar
 

Loading Comments...
 

    %d